Il calcolatore dell’antenna patch a microstriscia consente di determinare le dimensioni di un’antenna a microstriscia dalla frequenza di risonanza e dalle caratteristiche del substrato.
È essenziale per la progettazione di antenne compatte utilizzate nei sistemi RF, nelle comunicazioni wireless e nelle applicazioni embedded.
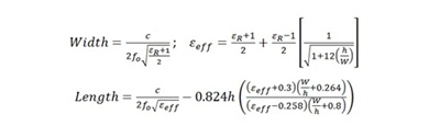
Formula utilizzata
Larghezza (L) = (c / (2 × f₀)) × √(2 / (ε r + 1))
Lunghezza effettiva (L eff ) = c/(2 × f₀ × √ε eff )
ΔL = 0,412 × h × ((ε eff + 0,3)(W/h + 0,264)) / ((ε eff – 0,258)(W/h + 0,8))
Lunghezza effettiva (L) = L eff – 2 × ΔL
O :
c = velocità della luce (m/s)
f₀ = frequenza di risonanza (Hz, MHz o GHz)
ε r = costante dielettrica del substrato
h = altezza del supporto (mm, cm o m)
W = larghezza dell’antenna (mm)
L = lunghezza effettiva dell’antenna (mm)
ΔL = correzione della frangia

Spiegazione
La larghezza e la lunghezza di una patch a microstriscia ne determinano la frequenza di risonanza e l’efficacia.
La larghezza (W) influenza l’impedenza e la larghezza di banda dell’antenna, mentre la lunghezza effettiva (L) tiene conto dell’effetto delle frange per garantire la precisione della frequenza di risonanza.
La costante dielettrica e l’altezza del substrato influiscono sulla velocità di propagazione del segnale e quindi sulle dimensioni finali.
Utilizzo
Questo strumento è destinato a ingegneri RF, progettisti di antenne e studenti di elettronica.
Viene utilizzato per dimensionare rapidamente antenne a microstriscia per applicazioni di comunicazione, reti wireless e sistemi embedded.
Esempio di calcolo
Per un substrato con ε r = 4,4 , altezza h = 1,6 mm e frequenza di risonanza f₀ = 2,4 GHz :
L ≈ 38,0 mm
L ≈ 28,5 mm
Suggerimenti per il calcolo
- Verificare che le unità di tono e frequenza siano coerenti.
- Il calcolo non convalida i valori estremi: potrebbero apparire risultati negativi o NaN per input non realistici.
- Testare diversi valori di substrato e frequenza per ottimizzare le prestazioni dell’antenna.
Perché questo calcolo è importante
Il design preciso di un’antenna a microstriscia garantisce un buon adattamento di impedenza, una larghezza di banda adeguata e la massima efficienza di radiazione.
Evita errori di dimensionamento e garantisce che l’antenna funzioni alla frequenza desiderata.
Vantaggi
- Dimensionamento rapido e preciso di antenne a microstriscia.
- Evita errori di progettazione e lunghi test iterativi.
- Applicabile a tutte le comuni frequenze RF e gamme di substrati.
Risultato atteso: larghezza (W) e lunghezza effettiva (L) dell’antenna in millimetri, per una frequenza di risonanza precisa.