Kalkulator szerokości mikropasków pozwala określić niezbędną szerokość ścieżki przewodzącej na obwodzie drukowanym, aby osiągnąć docelową impedancję.
Narzędzie to jest niezbędne do projektowania obwodów RF i wysokiej częstotliwości w celu zapewnienia prawidłowej transmisji sygnału.
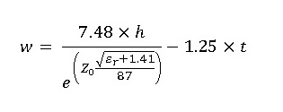
Zastosowana formuła
Szer. = (7,48 × wys.) / exp(Z₀ × √(εr + 1,41) / 87) – 1,25 × t
Lub :
Z₀ = impedancja docelowa (Ω)
t = grubość toru (te same jednostki co H)
H = grubość dielektryka (te same jednostki co t)
εr = względna stała dielektryczna materiału
W = szerokość ścieżki mikropaskowej (te same jednostki co t i H)

Wyjaśnienie
Wzór ten oblicza szerokość ścieżki na podstawie grubości dielektryka i pożądanej impedancji.
Szerokość bezpośrednio wpływa na charakterystyczną impedancję ścieżki, a dokładny projekt ma kluczowe znaczenie dla minimalizacji odbić i strat w obwodach wysokiej częstotliwości.
Używać
To narzędzie jest używane przez inżynierów RF i projektantów PCB.
Służy do prawidłowego wymiarowania ścieżek mikropaskowych dla filtrów, anten i linii transmisyjnych na PCB, zapewniając zgodność ze specyfikacjami impedancji.
Przykład obliczeń
Dla impedancji docelowej Z₀ = 50 Ω , grubości ścieżki t = 1 mil , grubości dielektryka H = 10 mils i stałej dielektrycznej εr = 4,4 :
W = (7,48 × 10) / exp(50 × √(4,4 + 1,41) / 87) – 1,25 × 1 ≈ 1,23456789 mils
Wskazówki obliczeniowe
- Użyj tych samych jednostek dla t i H, aby uzyskać spójny wynik.
- Sprawdź wartość stałej dielektrycznej materiału użytego na płytkę drukowaną.
- Dokładność obliczeń zależy od wierności parametrów wejściowych.
Dlaczego to obliczenie jest ważne
Właściwa szerokość ścieżki mikropaskowej zapewnia prawidłową impedancję obwodu, co zmniejsza straty, minimalizuje odbicia i poprawia jakość sygnałów o wysokiej częstotliwości.
Korzyści
- Umożliwia projektowanie ścieżek mikropaskowych spełniających specyfikacje impedancji.
- Redukuje błędy transmisji i straty w obwodach RF.
- Ma zastosowanie do wszystkich typów PCB i zakresów częstotliwości.
Oczekiwany wynik: szerokość ścieżki W w tych samych jednostkach co t i H, gwarantująca docelową impedancję Z₀.