A calculadora de impedância de microfita permite determinar a impedância característica (Z₀) e o atraso de propagação de uma linha de microfita em um circuito impresso.
É essencial para projetar circuitos de RF e PCBs garantir a correspondência correta do sinal e evitar reflexos indesejados.
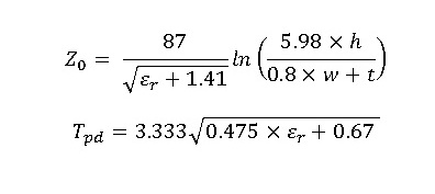
Fórmula usada
Z₀ e ε eff são calculados com as fórmulas de Hammerstad e uma correção de espessura do tipo Wheeler:
Z₀ = função (W eff , H, ε eff )
ε eff = permissividade efetiva calculada de acordo com a relação largura/altura e a constante dielétrica relativa
Atraso de propagação (TD) = √ε eff / c, convertido para ps/polegada
Ou :
W = largura do traço
t = espessura do traço
H = espessura do dielétrico
εr = constante dielétrica relativa
Z₀ = impedância característica (Ω)
TD = atraso de propagação (ps/polegada)

Explicação
A impedância Z₀ depende da largura efetiva da linha, da espessura do dielétrico e da constante dielétrica.
A correção Wheeler ajusta a largura de acordo com a espessura do condutor.
O atraso de propagação indica a velocidade com que o sinal viaja ao longo da linha de microfita.
Usar
Esta ferramenta é destinada a engenheiros de PCB, projetistas de RF e técnicos eletrônicos.
É usado para dimensionar corretamente linhas de microfita para garantir a correspondência de impedância e reduzir perdas ou reflexões em circuitos de alta frequência.
Exemplo de cálculo
Para uma linha microstrip com:
Largura W = 10 mils , Espessura t = 1 mil , Altura H = 5 mils , εr = 4,5 :
Z₀ ≈ 50,1234Ω
Atraso de propagação ≈ 167,8901 ps/polegada
Dicas de cálculo
- Verifique se todas as unidades são consistentes (mils, mm, polegadas).
- A constante dielétrica deve corresponder ao material da PCB.
- Use a calculadora para testar diferentes configurações e ajustar a largura para atingir a impedância desejada.
- O resultado Z₀ deve corresponder à impedância alvo para evitar reflexões de RF.
Por que esse cálculo é importante
Conhecer Z₀ e o atraso de propagação torna possível projetar circuitos microstrip confiáveis, adequados para sinais de alta frequência.
Isto melhora a qualidade do sinal, reduz perdas e facilita a integração em sistemas de RF complexos.
Benefícios
- Permite dimensionar corretamente as linhas microstrip na PCB.
- Evita erros e reflexões de correspondência de impedância.
- Aplicável a todas as faixas de frequência de RF usadas em circuitos impressos.
Resultado esperado: Z₀ em Ω e atraso de propagação TD em ps/polegada, indicando o comportamento elétrico da linha microfita.