La calculadora de alcance del radar ayuda a determinar la distancia máxima a la que un radar puede detectar un objetivo.
Esta herramienta es esencial para los ingenieros y técnicos de RF que trabajan en el diseño de radares y sistemas de detección.
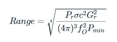
Fórmula utilizada
R = ⁴√((Pt × σ × c² × G²) / ((4π)³ × f₀² × Pmín))
O :
Pt = potencia de salida del radar (mW, W, dBm, dBW)
σ = sección transversal del radar del objetivo (m²)
c = velocidad de la luz (~3 × 10⁸ m/s)
G = ganancia de antena (lineal o dBi)
f₀ = frecuencia del radar (MHz o GHz)
Pmin = señal mínima detectable (mW, W, dBm, dBW)
R = alcance máximo (metros)

Explicación
Esta fórmula muestra que el alcance máximo depende de la potencia transmitida, la sensibilidad del radar, la frecuencia y las características de la antena.
Una potencia más alta o una mayor ganancia de antena aumentan el alcance, mientras que una frecuencia más alta o una señal mínima más baja pueden reducirlo.
La sección transversal σ representa el tamaño o reflectividad del objetivo del radar.
Usar
Esta herramienta la utilizan los ingenieros de radar y los diseñadores de sistemas de vigilancia para:
- Evaluar la distancia a la que se puede detectar un objetivo.
- Dimensionar los radares y elegir los componentes adecuados.
- Optimizar el rendimiento de los sistemas de detección y RF.
Ejemplo de cálculo
Para un radar con:
Pt = 10 W , σ = 1 m² , G = 10 (lineal) , f₀ = 3 GHz , Pmin = 0,001 W :
R = ⁴√((10 × 1 × (3×10⁸)² × 10²) / ((4π)³ × (3×10⁹)² × 0,001)) ≈ 17.000 metros
Consejos de cálculo
- Asegúrese de utilizar las unidades correctas de frecuencia, potencia y ganancia.
- Verifica que todos los valores sean positivos y realistas para evitar resultados imposibles.
- Pruebe diferentes escenarios para comparar el alcance según la configuración del radar.
Por qué este cálculo es importante
El conocimiento del alcance del radar permite planificar el posicionamiento y el rendimiento de los sistemas de detección,
para optimizar la cobertura y garantizar la confiabilidad en condiciones variables.
Beneficios
- Le permite estimar la distancia máxima de detección de un objetivo.
- Útil para el diseño y evaluación de radares y sistemas de RF.
- Ayuda a mejorar la eficacia de los sistemas de vigilancia y seguridad.
Resultado esperado: el alcance máximo (R) en metros, que indica la distancia a la que el radar puede detectar un objetivo.